Contoh globalisasi ekonomi, contoh globalisasi, contoh globalisasi ekonomi, contoh globalisasi di bidang ekonomi, contoh globalisasi beserta gambarnya, contoh globalisasi di bidang budaya,
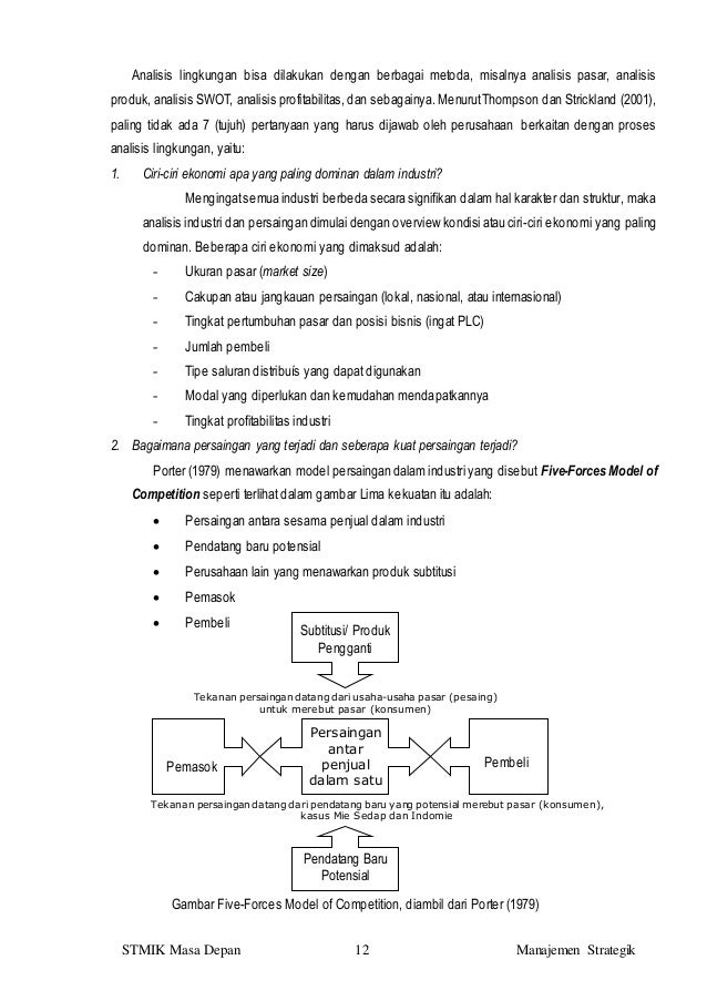
Random Image

